11月16日,国家电力投资集团2017年第六十一批700MW组件集中采购(储备容量为2700MW)开标,据光伏們了解,共有28家组件企业参与了此次招标。
根据招标文件,国家电投此次招标共包括12个标段,其中单、多晶各4个标段,还包括2个高效组件标段以及2个双面双玻标段(见下图)。


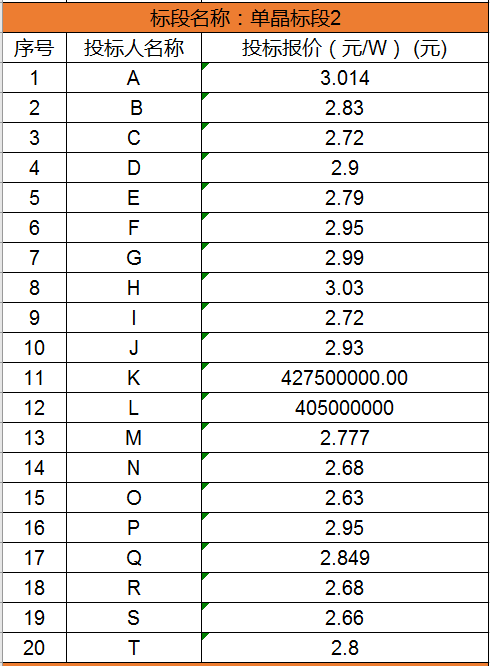
从开标结果来看,参与单晶、多晶标段的竞争尤为激烈,每个标段参与企业数量都在20家及以上。
其中,单晶标段(285W及以上)最低价格报至2.63元/瓦,报价在2.7元/瓦以上的企业共有4家,大部分企业报价维持在2.7-3元/瓦之间。
从多晶(270W及以上)的报价来看,要明显低于单晶。其最低价格报至2.48元/瓦,大部分报价在2.6-2.8元/瓦之间。除个别极低报价之外,此次开标价格并未低于当前市场价格太多。
高效组件(单晶295W及以上)以及双面双玻(单晶正面295W及以上)标段的参与企业数量明显较少,其价格也要明显高于上述普遍单多晶标段。其中,高效组件两个标段中,最低价格报至2.66元/瓦,不过大部分价格仍然维持在2.8元/瓦以上,双面双玻的报价则大多在2.9元/瓦以上。
国家电投作为目前世界上最大的光伏电站投资商,其持有量已经超过10GW,历来的集采价格已经成为行业产品价格走向的风向标。
从此次报价来看,大部分的报价都要等于目前的市场价格,一方面国家电投的采购规模较大,组件企业乐意用较低的价格换取规模化的订单;另一方面,此次报价也将给2018年的组件价格提供参考。
详细开标价格如下:



















